bnfと逆ポーランド表記法って、どっちもわかれば解けるけど知らないとちんぷんかんぷんな分野だよね。。。一緒に理解しておこう!目次0:00.. この記事では、C言語を使って逆ポーランド記法で計算する方法について解説します。. 逆ポーランド記法とは何か、その利点やプログラムの実装方法、さらには応用例までをわかりやすく説明します。. 初心者の方でも理解しやすいように、具体的な.
逆ポーランド記法および、ツリーの preoder/postoder traversal 純粋関数型雑記帳
【Ruby】【アルゴリズム】逆ポーランド記法 せかいや

Tokenizer & Reverse Polish notation 字句解析と逆ポーランド記法 C++技術解説ライブ YouTube

RPN(逆ポーランド記法)は知っていると便利な計算方法 マイハリ

逆ポーランド記法と木構造の絵 計算機科学 Qiita
逆ポーランド記法の易しい解説 PyDocument
Pythonで逆ポーランド記法の式を計算するプログラム PyDocument
お勉強十日目 「逆ポーランド記法」 しがない学生の雑記
逆ポーランド記法 マツケンのマインド

15 応用情報 高度共通試験 午前1対策】逆ポーランド記法 YouTube

ポーランド記法と逆ポーランド記法の使い方を解説! ITの学び

逆ポーランド記法(後置記法)への変換と計算方法 tako blog

【過去問解説付き】逆ポーランド記法について学ぼう!【基本情報技術者試験】 YouTube

応用情報の逆ポーランド記述法(後置記法)をカンタン解説します MYTERRACE(マイテラス)

ポーランド記法と逆ポーランド記法の使い方を解説! ITの学び

逆ポーランド記法と木構造の絵 計算機科学 Qiita

逆ポーランド記法の解き方 │ be発明家エンジニア
+(3+4+%2B)+*)+→+(+3+(3+4+%2B)+*).jpg)
逆ポーランド記法とスタック アルゴリズム Qiita

ポーランド記法と逆ポーランド記法の使い方を解説! ITの学び
逆ポーランド記法による計算プログラムの負の整数対応版 How to spend the terminal
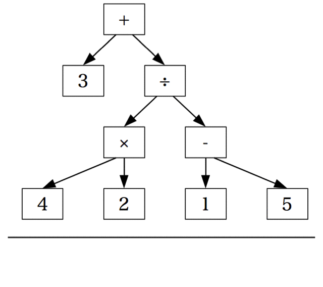
ここで紹介した例はあくまでアルゴリズムを分かりやすくするためのものですので、もし実用のプログラムで逆ポーランド記法を生成しなければならないときには、入力された数式のフォーマットの検査、2文字以上の数値と演算子の処理、符号を反転するマイナス記号(単項演算子)の処理.. 逆ポーランド記法化を行うアルゴリズムには様々なものがあり、一例としてスタック(stack)を使うものがありますが、ここではスタックではなく二分木を使って数式を逆ポーランド記法に変換する方法について解説します。 また、二分木に変換した数式を使って数式の計算を行う方法についても.